Mewarnai Gambar Tanaman Umbi Untuk Meningkatkan Kreatifitas Balita
Mewarnai Gambar Tanaman Umbi Untuk Meningkatkan Kreatifitas Balita - Aktivitas mewarnai sanggup mendukung menaikkan mesin, khususnya otot bekerja bersama dengan tangan terhadap anak-anak. Kemampuan bermotor terlampau mutlak didalam perkembangannya. Selain itu, pewarna sanggup melatih anak-anak untuk berkonsentrasi mewarnai gambar tanaman umbi.

Kumpulan gambar untuk Belajar mewarnai Mewarnai Gambar 1200 1600
Ketika si kecil jalankan aktivitas mewarnai, konsentrasinya tidak ringan terganggu dan masih fokus. Kapasitas konsentrasi ini benar-benar berfaedah bagi anak-anak di dalam menyelesaikan tugas-tugas yang perlu konsentrasi tinggi seperti matematika.

Mewarnai Gambar Umbi Umbian Mewarnai Gambar Lucu 768 belajar mewarnai gambar bit 1024
Kegiatan pewarnaan, lebih-lebih bidang pewarnaan kosong adalah anak-anak untuk mengekspresikan perasaan mereka. Melalui gambar yang dia buat, Anda dapat lihat apa yang dia rasakan, baik perasaan gembira atau menjadi sedih.

Kumpulan gambar untuk Belajar mewarnai Mewarnai Gambar 768 mewarnai gambar ubi bit 1024
Tidak cuma itu, pewarnaan juga memerlukan kerja mirip yang baik pada mata dan lengan, berasal dari langkah mencegah krayon, pilih warna, untuk mempertajam warna. Kemampuan ini amat perlu bagi anak-anak.

Mewarnai Gambar Ubi Bit Merah 768 gambar sketsa ubi bit hitam putih 1024
Bahkan bersama dengan pewarnaan kerap mampu digunakan untuk membaca emosi anak-anak. Misalnya, seorang anak yang mewarnai matahari dengan warna-warna gelap layaknya hitam atau abu-abu bisa memperlihatkan kemarahannya terhadap pas itu.

Mewarnai Gambar Umbi Umbian Mewarnai Gambar Lucu 768 lembar mewarnai gambar bit 1024
Cara mengukir warna terhitung dapat mengutarakan sifatnya, misalnya, jika pewarnaan anak selagi memotret garis reguler tunjukkan bahwa ia memiliki kecenderungan gaya hidup reguler. Selain itu, warnanya sendiri menjadi alat terapeutik untuk meringankan tekanan anak sesudah seharian beraktivitas.

Mewarnai Gambar Ubi Bit Merah 768 gambar ubi bit untuk mewarnai 1024

Mewarnai Gambar Tanaman Umbi Umbian 768 mewarnai kartun gambar kentang 1024

99 Gambar Batang Pohon Kartun Pilihan 1166 tanaman 0007 1600

Contoh Gambar Gambar Mewarnai Tanaman Jagung KataUcap 768 Bahan Mewarnai Gambar Jagung Anak Sekolah 1024

Mengenal Buah dan Umbi 1211 baca buku online brain games fun sains49 Mengenal Buah dan Umbi 1713
Dalam mendidik anak-si kecil untuk mewarnai, tentu saja, pertama-tama mulai hal-hal paling sederhana. Perkembangan anak sangat berbeda. Seandainya Ibu berharap mendidik buah hati-buah hati untuk warna, berikut merupakan anjuran yang bisa diciptakan:
Masukkan warna dasar. Warna dasar lebih gampang dihapal oleh anak-anak. Untuk siswa pertama, ibu mesti terutamanya dahulu mengajarkan warna dasar, yaitu; Putih, merah, hitam, kuning dan hijau. Buah-buah hati akan lebih mudah untuk memahami warna yang lembut dan gampang ditemukan.
Masukkan gambar simpel. Di sekitar kita, ada banyak gambar simpel yang dapat disajikan ke kecil, dari segitiga, persegi panjang, lingkaran, rentang Genjang dan lainnya. Kecil kecil akan belajar lebih banyak tentang bentuk ruang konstruksi, sambil menyampaikan benda-benda di sekitar.
Masukkan warna melalui binatang, tanaman, dan buah-buahan. Buah-anak akan lebih mudah untuk mempelajari warna-warna makhluk hidup yang sering mengamati, semisal, kucing, ayam, burung, pohon, dsb. Kecuali binatang memiliki warna yang berbeda, dan mengajarkan buah hati-buah hati untuk membedakan warna. Yang kecil pasti akan menghafal warna yang acap kali kali dipandang.
Umpamanya itu, ada banyak buah yang dapat dipakai sebagai model. Warna termudah dari yang kecil. Tiap-tiap, warna Apple, pisang, mangga, dan beberapa potong yang selalu ada di lemari es. Lebih mudah karena si kecil-si kecil selalu memandangnya hampir tiap hari.
Ajari warna campuran. Selain anak pasti menyenangi hal-hal baru seperti mengetahui warna baru, salah satunya ialah warna campuran. Jikalau sudah dikumpulkan dengan hati-hati, cobalah untuk memperkenalkan buah hati Anda pada warna campuran yang dibuat dari krayon atau pensil berwarna, ini akan lebih gampang untuk mengajar si kecil-buah hati.
Mewarnai gambar mirip dengan objek favorit Anda. Kalau si kecil merasakan situasi sulit saat menggambar, Anda sepatutnya mengajarkan Anda untuk mewarnai obyek yang paling Anda sukai. , buah hati-buah hati sangat menyenangi benda favorit mereka, serta mewarnai, tentu saja, akan berminat pada benda-benda seperti mobil, robot dan benda unggulan lainnya.

86 Gambar Tanaman Kartun 1237 tan 2 1600

Worksheet Untuk Anak 3 Tahun 1237 worksheet untuk anak 3 tahun 1600

Gambar Tumbuh Tumbuhan Anak Tk 1000 1643

Mewarnai Gambar Seledri 768 belajar mewarnai gambar pohon seledri 1024

Worksheet Untuk Anak 3 Tahun 1202 worksheet untuk anak 3 tahun 1600
Regu yang menarik. Sehingga si kecil Anda lebih rangsang untuk belajar dari warna, Anda mesti mempunyai ibu dan ayah mempertimbangkan regu gambar yang menarik. Akan lebih baik kecuali ibu dan ayah melibatkan si kecil untuk menetapkan buku gambar, pensil warna atau krayon dikala mereka berada di toko. Dengan demikian itu, si kecil mungkin giat saat ia diundang untuk belajar mewarnai gambar. Pilih gambar akuntansi yang berukuran pas pada usia, seperti krayon yang tidak berbisa untuk masa kecil atau pensil warna dengan pegangan segitiga sehingga energi penulisan disempurnakan.
Aku memberi saran gambar sederhana. Untuk melatih tenaga gambar dan warna kecil, ibu dan ayah dapat mengajarkan mereka konsep gambar sederhana, terutamanya yang pertama. Seumpama, mengajarkannya untuk menyusun kotak, lingkaran, dan gambar segitiga. Ibu dan ayah dapat memberi nasihat tangan buah hati Anda untuk bersua, lalu minta dia untuk dilakukan sendiri. Tapi jangan menggabungkan si kecil Anda kecuali foto yang dia buat masih semrawut. Sebaliknya, selalu mendukung si kecil, jadi itu ditantang untuk membikin gambar lebih baik.
Ajarkan warnanya lewat lingkungan sekitarnya. Kesanggupan imajinasi buah hati Anda bisa bervariasi kadang-kadang, membuatnya dengan berbahagia hati menggunakan pelbagai warna pada gambar yang mereka buat. Sebenarnya, ini tak buruk, melainkan ibu dan ayah kadang-kadang dapat menghitung untuk memberi tuntunan si kecil untuk belajar mewarnai alam di sekitarnya sehingga dadu warna bisa lebih sesuai untuk benda-benda yang ditarik.
Untuk cara pembelajaran warna lebih mudah, ibu dan ayah dapat mengajari warna kecil via benda-benda di lebih atau kurang rumah. Seumpama, dengan mempublikasikan si kecil selain bunga di teras rumah mempunyai warna merah, kucing binatang peliharaan tetangga mempunyai warna putih, untuk mendidik, kecuali langit malam, memiliki biru cemerlang.
Biarkan si kecil itu percaya. Hal terakhir yang akan. dilakukan ibu dan ayah untuk mengajarkan sedikit gambar dan warna mereka yaitu stop melakukannya untuk khayalan. Meskipun ada lebih dari satu patuh pada mereka yang harus dipertimbangkan dengan memberi mereka warna pada gambar, namun tidak ada batasan dalam suatu seni. Karena itu, biarkan si kecil memberi warna obyek dalam kertas gambar bertepatan dengan apa yang ada dalam khayalan Anda untuk menjadi lebih kreatif.

Foto Tanaman Serai Page 1 Line 17QQ 1536 gnplhplov 2048

Contoh Gambar Mewarnai Gambar Makanan Pokok KataUcap 736 gambar pokok mewarna menarik jom lukisan mewarna pemandangan yang menarik dan boleh di of gambar pokok mewarna 974

Pin di ebookanak 2480 3ee ae bee1ced8c5b2493 3307

halaman pewarna natal yang boleh dicetak percuma untuk kanak 792 free printable christmas tree coloring pages 2 1024

Foto Tanaman Serai Page 1 Line 17QQ 1200 gnplhpgdv 1600

halaman pewarna pisang Makanan 738 banana coloring pages 3 930
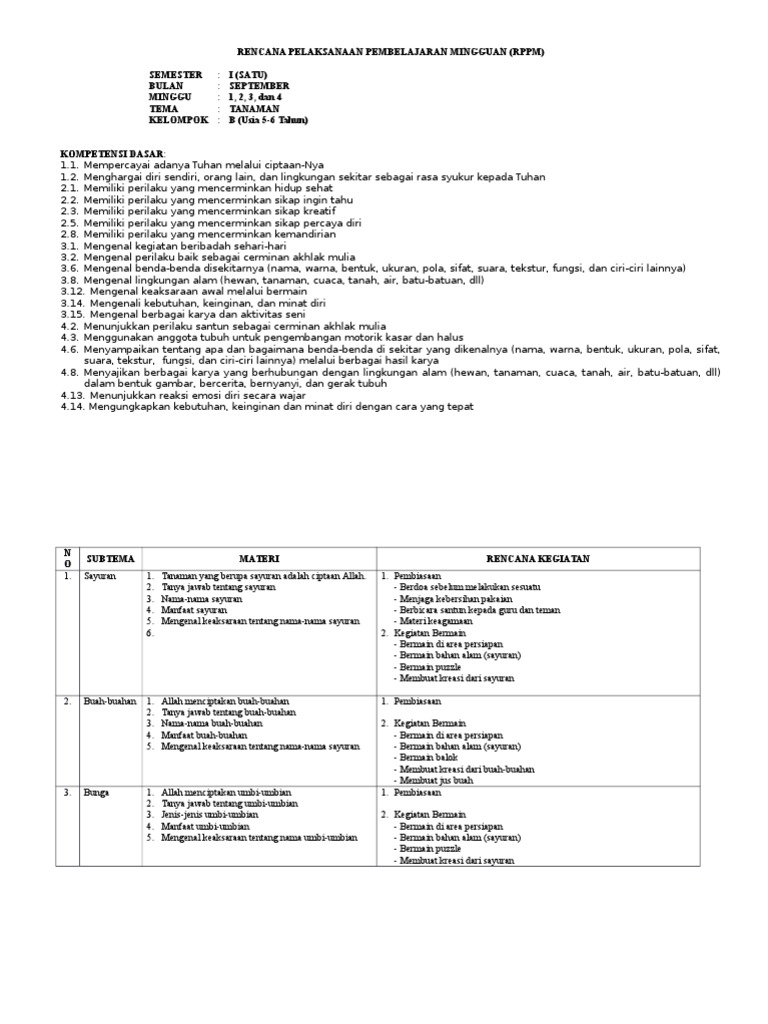
RPPH 768 1024
:strip_icc():format(jpeg)/kly-media-production/medias/1148385/original/067894200_1455992589-20160220-batik_malam-palembang.jpg)
Mengenal Tumbuhan Jitu Penghasil Warna Tekstil Lifestyle 640 batik malam palembang 853

99 Wortel Gambar Sayuran Kartun Hitam Putih Terbaru 906 gambar mewarnai wortel3 1152

Menggambar Pohon – IlmuSosial 2480 6c87c908e5b a0198a60b87 3508
Kakzefkesuma Posts 960 media 1280
.jpg)
Gambar Mewarnai Pohon Singkong sukagambarku 706 Gambar Mewarnai Pohon 8 942

Id ID 5c a1b 768 id 5c a1b 1024

Kegiatan Tk Tema Umbi Umbian Guru Paud 1301 150 1800

Buku Guru Kelas 3 Tema 1 Revisi 2018 ayomadrasah Pages 101 1301 102 1800

Ensiklopedia Flora Sahabat Bakau by Sahabat Bakau issuu 1166 ensiklopedia flora b aa21d7c4 1499
.jpg)
Gambar Mewarnai Jagung 706 Gambar Mewarnai Pohon 6 942

Kumpulan Beragam Gambar Sketsa Tumbuhan 750 gambar sketsa tumbuhan hd 1000

Jual bibit umbi bonggol bunga dahlia kuning Kota Surakarta Parvizjeans678 700 batch upload 6666b1cc 505a 4c8a ba61 b60aa71 892
Rppm u4 5 Semester 1 New 768 Rppm u4 5 Semester 1 New 1024

audio player 1000 sitemap product xml gz 1345

tlg di bantu lgi yaa soal 10 19 Brainly 2448 a0c62a061df a ab013 3241

karangan spm 686 karangan spm 56e b4c79 1024

Sel bawang dan sel pipi 638 sel bawang dan sel pipi 1 638 903
Kakzefkesuma Posts 960 media 1280
Yang Menarik lainya berkaitan dengan : mewarnai gambar mewarnai gambar adat mewarnai gambar anak tk mewarnai gambar betawi mewarnai gambar gadang mewarnai gambar ikan mewarnai gambar ikan cupang mewarnai gambar ikan di laut mewarnai gambar ikan hias mewarnai gambar ikan hiu mewarnai gambar ikan kartun mewarnai gambar ikan koi mewarnai gambar ikan laut mewarnai gambar ikan nemo mewarnai gambar ikan paus mewarnai gambar joglo mewarnai gambar kartun mewarnai gambar mobil mewarnai gambar mobil ambulance mewarnai gambar mobil balap mewarnai gambar mobil jeep mewarnai gambar mobil kartun mewarnai gambar mobil pemadam kebakaran mewarnai gambar mobil polisi mewarnai gambar mobil sederhana mewarnai gambar mobil tank mewarnai gambar mobil transformer mewarnai gambar pemandangan mewarnai gambar pemandangan air terjun mewarnai gambar pemandangan alam pedesaan mewarnai gambar pemandangan bawah laut mewarnai gambar pemandangan gunung mewarnai gambar pemandangan indah mewarnai gambar pemandangan pantai mewarnai gambar pemandangan pelangi mewarnai gambar pemandangan sawah mewarnai gambar pemandangan untuk anak tk mewarnai gambar sakit mewarnai gambar tingkat mewarnai gambar untuk anak tk